CAMPI
ELETTRICI

Il
campo elettrico è una regione
dello spazio ove si esercitano forze
elettriche su cariche elettriche.
Tale campo è determinato in
ogni punto dalla grandezza vettoriale
E , quindi è
definito in ogni punto da una intensità,
una direzione ed
un verso. L'intensità,
la direzione ed il verso sono pari
a quelli della forza elettrica che
agisce su un'unità di carica
positiva posta in quel punto. Se ne
ha una rappresentazione visibile mediante
le linee di forza e le superfici equipotenziali.
Il potenziale elettrico, essendo un'energia
per unità di carica, si misura
in [J/C]. Così è pure
per la differenza di potenziale. Se
in un punto di un campo elettrico,
ove il potenziale vale, V
è presente una carica Q
, tale carica possederà una
energia potenziale elettrica pari
a W = Q·V
[Joule]. Il [J/C] è chiamato
Volt [V].

CAMPI
MAGNETICI

Mentre
i campi elettrici sono associati solamente
alla presenza di cariche elettriche,
i campi magnetici sono il risultato
di movimenti di cariche (correnti
elettriche). Un campo elettrico, E,
esercita una forza su una carica elettrica
ed è espresso in Volt
al metro (V/m). In modo analogo, un
campo magnetico può esercitare
delle forze fisiche su cariche elettriche,
ma solo quando queste sono in moto.
I campi elettrici e quelli magnetici
possiedono sia un’intensità,
sia una direzione (sono, cioè,
dei vettori). Un campo magnetico può
essere specificato in due modi, cioè
attraverso l’induzione magnetica
B, espressa in tesla
(T), oppure attraverso l’intensità
di campo magnetico H,
espressa in Ampere
al metro (A/m). Le due grandezze sono
legate dalla relazione: B
= µH , dove
µ è una costante
di proporzionalità (detta permeabilità
magnetica); nel vuoto, in aria ed
in tutti i materiali non magnetici
(compresi quelli biologici), µ
ha il valore di 4 x 10-7 in unità
di Henry al metro
(H/m). Quindi, per descrivere un campo
magnetico a fini protezionistici,
è sufficiente specificare solo
una delle due grandezze B
o H.
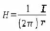
Nel caso di un filo rettilineo percorso
da corrente I l'intensità
del campo magnetico è H
è data, nel vuoto, da :

Come
si può osservare, il campo
magnetico è direttamente proporzionale
alla corrente I che
circola nel conduttore ed inversamente
proporzionale alla distanza da esso.
In realtà le formule che esprimono
il campo magnetico, per geometrie
“reali”dei conduttori
e soprattutto in campo vicino, sono
molto più complesse. La formula
sopraindicata vuole essere soltanto
utile a spiegare in modo semplice
la relazione che intercorre fra le
grandezze fisiche che entrano in gioco.
ONDE
ELETTROMAGNETICHE
Come
si è già ampiamente
detto, le cariche elettriche
ferme danno origine ai campi elettrici
e le correnti elettriche danno origine
a campi magnetici. La condizione
di campo elettrico e magnetico statico
si ha quando, rispettivamente le cariche
elettriche sono ferme e le correnti
elettriche sono costanti. Quando,
invece abbiamo il campo elettrico
e il campo magnetico che variano nel
tempo, indipendentemente dalla causa
che da origine a tali variazioni,
si scopre che una variazione del campo
elettrico dà origine ad un
campo magnetico e che, viceversa,
una variazione del campo magnetico
è sempre accompagnata dalla
comparsa di un campo elettrico. Osservando
queste proprietà Maxwell individuò
l'esistenza delle onde elettromagnetiche.

Le
oscillazioni dei campi elettrici e
magnetici che costituiscono un'onda
elettromagnetica sono, ad una opportuna
distanza dalla sorgente, sinusoidali,
in fase tra loro ed ortogonali alla
direzione di propagazione.
ZONE
DI CAMPO LONTANO E VICINO
-
ZONA DI CAMPO LONTANO
Nel
misurare e valutare i campi elettromagnetici
bisogna fare molta attenzione nello
stabilire se la sorgente e il punto
di misura si trovano ad una distanza
tale per cui si può considerare
zona di campo vicino o zona di campo
lontano.
Solitamente con buona approssimazione,
senza scendere troppo nei dettagli
per radiatori corti od estesi, si
può stabilire di trovarsi in
una zona di campo lontano se il punto
di misura e la sorgente irradiante
distano almeno qualche multiplo della
lunghezza dell'onda elettromagnetica).
Per questa ragione le misure dei campi
elettromagnetici in alta frequenza
(100 Khz – 300 Ghz) sono più
agevoli in quanto, sfruttando alcune
proprietà delle zone di campo
lontano, dato il valore di uno dei
due campi elettrico o magnetico, si
può ottenere l'altro. Infatti,
nella regione di campo lontano, il
modello di onda piana rappresenta
una buona approssimazione della propagazione
del campo elettromagnetico. Le caratteristiche
di un’onda piana sono:
S = E*H =
(E*E)/377 = 377 (H*H)
-
ZONA DI CAMPO VICINO
La
situazione nella regione di campo
vicino è alquanto più
complicata perché i massimi
ed i minimi dei campi E
ed H non si presentano
negli stessi punti lungo la direzione
di propagazione, come invece avviene
in campo lontano. Nel campo vicino,
la struttura del campo elettromagnetico
può essere molto disomogenea
e possono verificarsi notevoli scostamenti
dal valore di 377 Ohm
dell’impedenza di onda piana;
in altre parole, possono esservi campi
quasi puramente elettrici in alcune
regioni e quasi puramente magnetici
in altre. Le esposizioni in campo
vicino sono più difficili da
specificare, perché si debbono
misurare entrambi e separatamente
i campi E ed H.
Ai fini dell'indagine dell'esposizione
ai campi elettromagnetici in bassa
frequenza (0 Hz- 100 KHz)
è utile misurare il campo magnetico,
anche se poi nella pratica quello
che si misura è l'induzione
magnetica B. Infatti,
poiché i campi a questa frequenza
sono generati da apparecchiature elettriche
e da conduttori di corrente elettrica,
il campo elettrico è pressoché
costante e calcolabile deterministicamente
una volta acquisite le caratteristiche
del sistema, mentre quello magnetico
varia a seconda della intensità
della corrente elettrica che circola.
E come sappiamo quest'ultima dipende
dall'uso che ne fa l'utente. I conduttori
sono percorsi da un'intensità
di corrente elettrica che varia a
seconda del carico di rete che varia
istante per istante, un'apparecchiatura
elettrica è interessata da
passaggio di corrente elettrica in
base all'uso che richiede l'utente
: per esempio una stufa elettrica
può essere utilizzata al minimo
o portata al massimo della sua potenza.
RADIAZIONI
IONIZZANTI E NON IONIZZANTI
| L’effetto
biologico delle onde elettromagnetiche
dipende essenzialmente dalla
loro intensità e dalla
loro frequenza. Di conseguenza
lo spettro elettromagnetico
può essere suddiviso
in due tipologie principali:
le radiazioni ionizzanti (per
esempio i raggi X e
gamma) con frequenza
maggiore di 3000 Thz
(lunghezza d'onda <100
nm) e quelle non ionizzanti,
come le onde radio e le microonde.
Le radiazioni si differenziano
fra loro per la diversa capacità
che hanno di interagire con
gli atomi e le molecole che
compongono la materia. |
|
-
RADIAZIONI IONIZZANTI (IR –
Ionizating Radiation)
In
base alla loro caratteristica ionizzare
(staccare dalla loro struttura singoli
elettroni), possono rompere dei legami
chimici di molecole del nostro corpo
o creare in esso sostanze particolarmente
re attive, che a loro volta possono
causare danni rilevanti al sistema
biologico, ed è infatti risaputo
che anche piccole dosi di raggi ultravioletti
o radiazioni ionizzanti (radioattività)
possono determinare patologie anche
molto gravi come i tumori della pelle
o la leucemia.
-RADIAZIONI
IONIZZANTI (NIR – NON Ionizating
Radiation)
Le
radiazioni non ionizzanti, invece,
anche in presenza d’intensità
di campo assai elevate non sono in
grado di ionizzare (staccare dalla
loro struttura singoli elettroni)
le molecole di cui è costituito
il nostro corpo. Il principale effetto
che riescono a produrre sulle molecole
è quello di farle oscillare
producendo attrito e di conseguenza
calore (come accade ad esempio in
un forno a microonde): il riscaldamento
è proprio l’effetto principale
delle radiazioni non ionizzanti.
Anche nell’ambito delle radiazioni
non ionizzanti l’effetto biologico
dipende molto dalla loro frequenza,
sicché anche per questo tipo
di onde si è soliti adottare
un’ulteriore differenziazione
in onde ELF ( campi
elettrici e magnetici a bassa frequenza
0 – 100 Khz)
e RF (campi a radiofrequenze
e microonde 100 KHz –
300 Ghz).
BIBLIOGRAFIA